中国科学技术大学2026年创新科学营第一阶段测试于3月28日举行,根据往年学生反映,第一阶段的考核难度适中,不会非常超纲,接下来为大家整理更新相关数学试题内容,大家一起来看!
2026年中科大少创班科学营一试数学试题
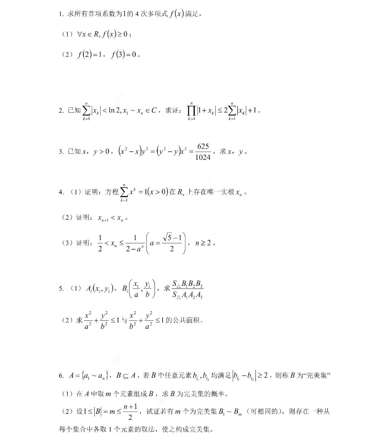
今年营一数学考试题型稍微有变化,共六道大题,总分100分,分值分别是12、12、12、20、20、24。
第一题:多项式,相对基础,偏简单,容易拿分。
第二题:复试与多项式,对模长不等式比较熟悉的同学可以很快转变单变量的不等式,相对容易。
第三题:函数,比较简单。
第四题:解方程,难度一般。常规技巧。
第五题:熟悉积分的同学可以直接通过积分求解,不熟悉积分的同学利用好第一问的提示也完全可以做出来。
第六题:组合,第一问相对基础,高考题;第二问使用数学归纳法比较容易解决。
试卷整体难度不大,但是题量有所增加。

2024-2025年中科大创新科学营第一阶段数学相关的试题,供大家进行参考:
| 年份 | 试题及答案 |
| 2025 | 点击下载 |
| 2024 | 点击下载 |
从这些试题中可以看出,中科大少创班和创新科学营的数学测试注重对学生基础知识和综合运用能力的双重评估。学生们不仅需要牢固掌握各个知识点的基本概念和理论,还需要具备将数学知识应用于实际问题的能力。
相关推荐:
通过中国科学技术大学强基计划校测后,坦言:物理才是真正难关!




























