自主选拔在线

登录 | 注册

2025年10月丘成桐国际中学生数学物理竞赛-数学卷

2025-10-10 09:46|编辑: 小李老师|阅读: 23

摘要

自主选拔在线特整理2025年10月丘成桐国际中学生数学物理竞赛-数学卷,供竞赛生参考。

2025年丘成桐国际中学生数学物理竞赛于10月4日进行,自主选拔在线团队收集到数学部分的试卷,备考丘成桐数学领军计划和女子丘成桐数学竞赛的考生可以参考!

重点关注:2025年五大学科竞赛赛程安排/考试试题/获奖名单汇总

免费资料一

福利资料:为助力低年级数学竞赛规划,特整理《数学竞赛升学规划指南》电子资料

领取链接:https://www.zizzs.com/form?xyppid=577695157093143561

免费资料二:

福利资料:为帮助低年级考生高效备考,特整理《近10年数学竞赛试题及答案领取》电子资料

领取链接:https://www.zizzs.com/form?xyppid=558389017792482370

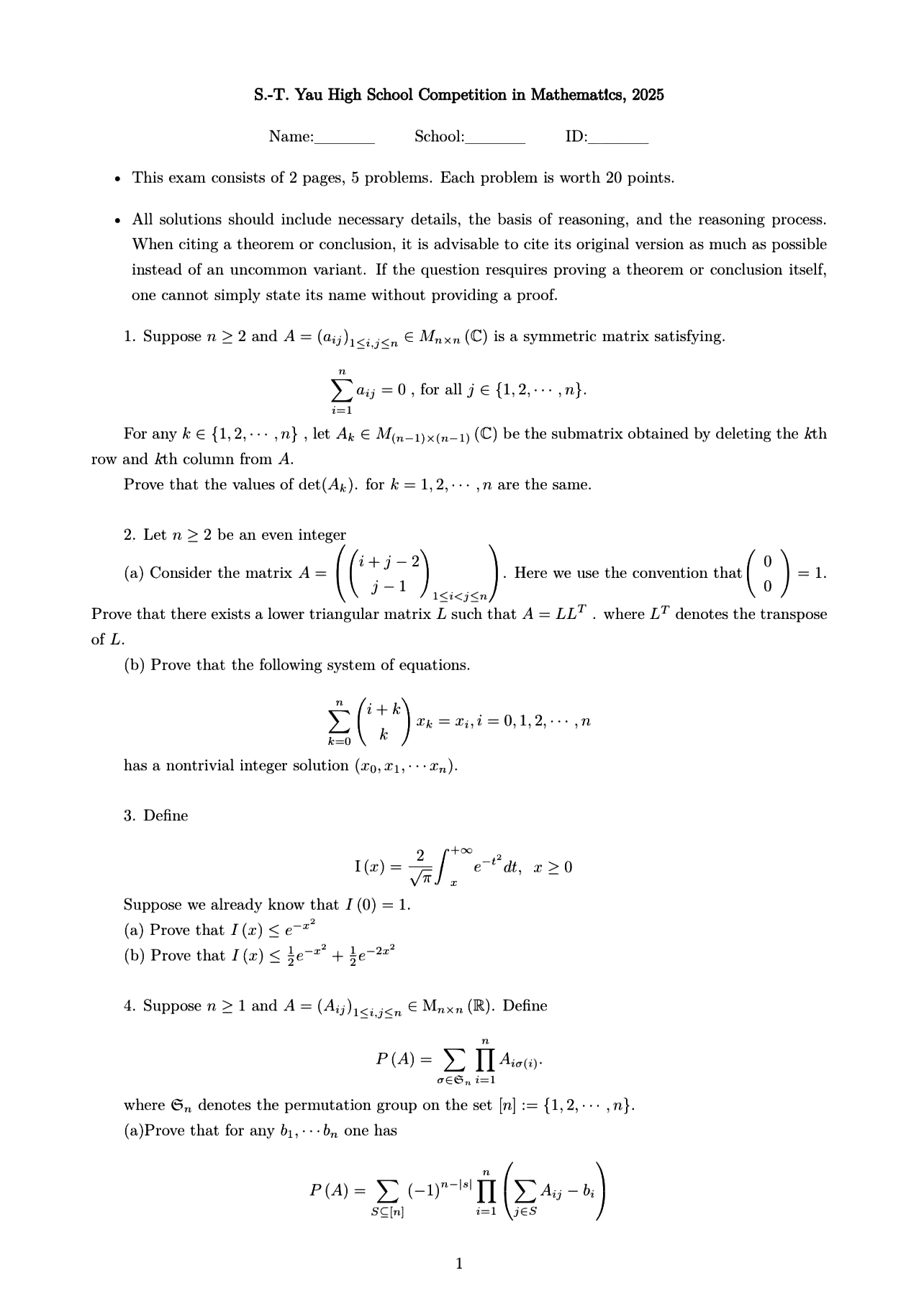
2025年10月丘成桐国际中学生数学物理竞赛-数学卷

2025年10月丘成桐国际中学生数学物理竞赛-数学卷

2025年10月丘成桐国际中学生数学物理竞赛-数学卷

温馨提示自主选拔在线特建立【五大学科竞赛交流群】,有一手中学生数学竞赛资讯、科普知识、老师在线答疑、不定时福利等!

扫描下方二维码进群

如果你还有其他疑问,或想了解最新招生政策、有升学规划需求、领取最新试题,可在企业微信联系人中 添加白杨老师(微信号:15321584637)好友,并备注“高考年份+省份+姓名”,老师会统一邀请大家进群~

2025年10月丘成桐国际中学生数学物理竞赛-数学卷

下载

声明:本文信息来源于网络,由自主选拔在线团队(微信公众号:zizzsw)排版编辑,如有侵权,请及时联系管理员删除。

0

收藏

分享到:

微信扫一扫分享

QR Code

微信里点“发现”

扫一下二维码便可将本文分享至朋友圈

报错
2025年中学生竞赛试题2025丘成桐国际中学生竞赛试题

2025年第三届复旦数学营暑期结营赛试题2025-09-09

北京十一学校二期拔尖创新人才选拔开启,从考核内容梳理筛选方向2025-10-11

2026届四川省成都七中高三10月月考试题及答案汇总2025-10-11

2026综合评价考生可锁定哪些高含金量赛事?2025-10-11

2026年湖南省普通高等学校招生考试报名办法解读2025-10-11

没有更多了

  • 2023ipho竞赛真题

  • 近十年国际物理奥林匹克竞赛真题

  • 数学竞赛真题答案

  • 理科竞赛真题

  • 信息学竞赛真题解析

  • 五大学科竞赛真题

  • 五大学科竞赛真题答案

  • 物理竞赛真题

  • 化学竞赛真题

  • 数学奥林匹克竞赛真题

  • 强基备考

    强基备考

  • 综评备考

    综评备考

  • 选科指导

    选科指导

  • 优质试题

    优质试题

  • 热门资料

    热门资料

  • 竞赛经验

    竞赛经验

  • 热门讲座

    热门讲座

  • 升学规划

    升学规划

  • 查分数线

    查分数线

扫码关注,回复关键词“2026”,领取升学福利

自主选拔在线

zizzsw 复制

友情链接: